Depto. Química Orgánica

INTERPRETANDO ESPECTROS 2D DE CORRELACIÓN H/C
A UN ENLACE
(HMQC ó HSQC)

Image Link UAM Excelencia UAM Facultad Ciencias UAM
15/07/2017
page counter
Dónde estoy Ejercicios y problemas Escribir moléculas Inicio
Hace ya unos 30 años que las técnicas bidimensionales revolucionaron la elucidación estructural por RMN.
La teoría y técnica que hay detrás del registro de estos espectros son muy complejas y excede del objeto de este curso.
No así la interpretación de los espectros que, en contraste, es extraordinariamente sencilla.
Los núcleos 1H y 13C directamente unidos se correlacionan en los espectros denominado HMQC o HSQC, acrónimos de Heteronuclear Multiple Quantum Correlation o Heteronuclear Simple Quantum Correlation, respectivamente. 
Lo mejor es ver enseguida un ejemplo.
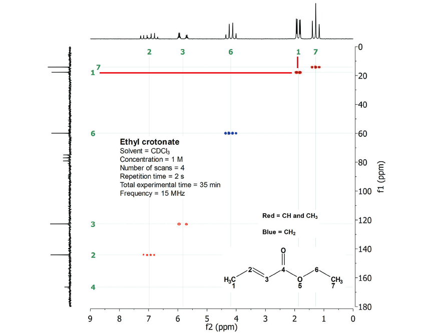
Se trata del espectro 2D H/C del crotonato de etilo. La estructura del compuesto está en la figura para que entiendas cómo se interpretan estos espectros.
Lógicamente, la utilidad de estos espectros es determinar estructuras desconocidas pero no podemos empezar la casa por el tejado...
Image
Vamos a hacer una lista de las primeras cosas que se aprecian en el espectro:
1) Hay un paralelogramo dentro del que hay unas señales en rojo y en azul.
2) En la parte superior hay un espectro de 1H-RMN convencional y en la parte izquierda otro de 13C-RMN, también convencional.
3) Las escalas vertical y horizontal son las típicas de 1H- y 13C-RMN, respectivamente, en ppm.
4) Las señales en rojo y en azul parecen coincidir con ciertas señales de los espectros de ambos ejes.
Antes de ver cómo se interpreta necesitamos entender los espectros de 1H- y 13C-RMN:
1H-RMN:
1) Las señales a 1.3 ppm (triplete) y 4.2 ppm (cuartete) pertenecen al resto CH3CH2.
2) Aplicando la regla de N+1 se entiende que el CH3 aparezca como triplete (N = 2 del CH2 vecino) y el CH2 como cuartete (N = 3 del CH3 vecino).
3) La señal a 2.0 ppm (doble-doblete) pertenece al CH3 unido al doble enlace.
4) El CH3 se acopla con cada uno de los dos 1H's olefínicos pero de diferente manera porque está a diferente distancia en enlaces de cada uno de los dos [C(1)H3-C(2)H-C(3); 3 enlaces con HC(2) y 4 enlaces con HC(3)].
5) Las señales a 6 ppm y 7.2 ppm pertenecen a los 1H's olefínicos y son muy complejas porque ambos 1H's se acoplan entre sí y con el grupo CH3.
6) Ambas son "dobles-cuartetes". Cuartete porque se acopla con el CH3 (N = 3) y doblete porque se acopla con el otro H olefínico (N = 1).
7) Las cuatro líneas de cada  cuartete de la señal a 6 ppm tienen entre ellas una separación menor (constante de acoplamiento menor) lo que sugiere que esta señal pertenece al H olefínico H(C3), más alejado del C(1)H3.  

13C-RMN:
1) Hay tres señales entre 10 y 60 ppm que pueden pertenecer a los carbonos alifáticos pero no sabemos a qué carbono.
2) En todo caso, la señal más desapantallada de las tres sería la del carbono que soporta el oxígeno. 
3) Las dos señales a 120-140 ppm pueden pertenecer a los carbonos olefínicos pero no sabemos a qué carbono.
4) La señal a 165 ppm debe pertenecer al carbono del grupo carbonilo por su desplazamiento químico elevado y su pequeña intensidad.
Interpretemos ahora el espectro 2D H/C:
Sabemos de antemano que las señales del grupo CH3CH2 son las que aparecen a 1.3 ppm y 4.2 ppm. Cada una de ellas se correlaciona con un carbono diferente.

Los emparejamientos son:
1.3 ppm/14 ppm y 4.2 ppm/60 ppm
.
Image
La señal de la primera pareja sale en rojo lo que indica que se trata de un CHx con un número impar de protones, es decir, un CH3.

La señal de la segunda pareja sale en azul lo que indica que se trata de un CH2.

Esto sucede de forma análoga a lo que ocurría en el DEPT-135: Los CHx con un número x impar salían en antifase respecto de los grupos CH2.
La manera de indicar esto en un espectro 2D H/C es con un código de colores arbitrario.
El emparejamiento 1.9 ppm/18 ppm pertenece al grupo CH3 unido al doble enlace. Como es un grupo CHx con x impar la señal sale en rojo
Image
Los emparejamientos 5.9 ppm/122 ppm y 7.0 ppm/143 ppm pertenecen a los grupos CH olefínicos, que también salen en rojo por ser CHx con x = 1 impar.
Como sabemos por el espectro de 1H y del COSY que la señal a 7.0 ppm pertenece a H(2), la señal a 143 ppm queda automáticamente asignada a C(2). Por tanto C(3) resuena a 122 ppm.
Image
La interpretación ha sido fácil. Quizá no lo será tanto cuando estudies un espectro de un compuesto de estructura desconocida.
Ya veremos ejemplos...