Depto. Química Orgánica

SOLUCIONES
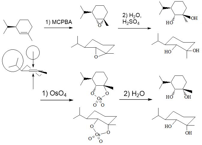
 EPOXIDACIÓN DE ALQUENOS

Image Link UAM Excelencia UAM Facultad Ciencias UAM
15/07/2017
page counter
Dónde estoy Ejercicios y problemas Escribir moléculas Inicio
Indica el resultado de las reacciones siguientes: Predict the result of the  following reactions:
Image