Depto. Química Orgánica

SOLUCIONES
TERCERA SEAr Y ESTRATEGIAS DE SÍNTESIS

Image Link UAM Excelencia UAM Facultad Ciencias UAM
15/07/2017
page counter
Dónde estoy Ejercicios y problemas Escribir moléculas Inicio
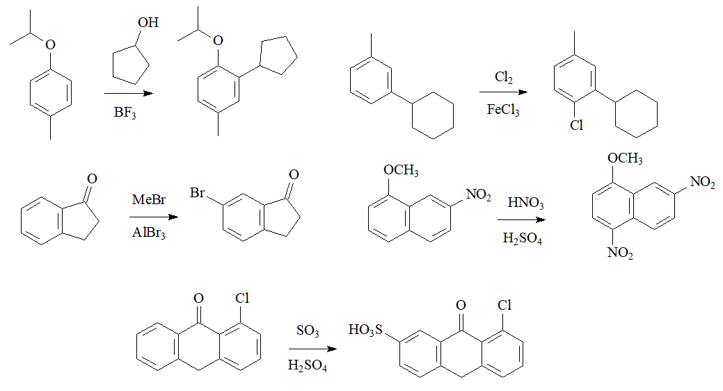
Predice el resultado de las reacciones siguientes: Predict the result of the following reactions:
Image
Propón una secuencia sintética para preparar los compuestos siguientes, con la condición de usar exclusivamente benceno como precursor aromático:
Propose a plausible synthetic pathway towards the following compounds, with the condition of using benzene as the only aromatic precursor:
Image