Depto. Química Orgánica

SOLUTIONS
ACID-BASE PROPERTIES OF CARBONYL COMPOUNDS:
ENOLIZATION

Image Link UAM Excelencia UAM Facultad Ciencias UAM
15/07/2017
page counter
Where I am Problems and exercises Molecular panel Home
Explica los desplazamientos de los equilibrios cetoenólicos de los compuestos siguientes: Explain the shifts of the following keto-enol equilibria:
Image
¿Sabrías decir qué le ocurre a la (S)-3-fenilbutanona si se la trata con medio básico? Could you predict what would happen to (S)-3-phenylbutanone when treated with a base?
Image
¿Adivinarías qué le puede ocurrir a la cis-2,5-dimetilciclohexanona en medio básico? Would you be able to fortell what changes will happen to 2,5-dimethylcyclohexanone in basic medium?
Image
¿Y a la butanona, si la disolvemos en agua deuterada en medio básico?. What about butanone, if we dissolve it in deuterated water in basic medium?
Image
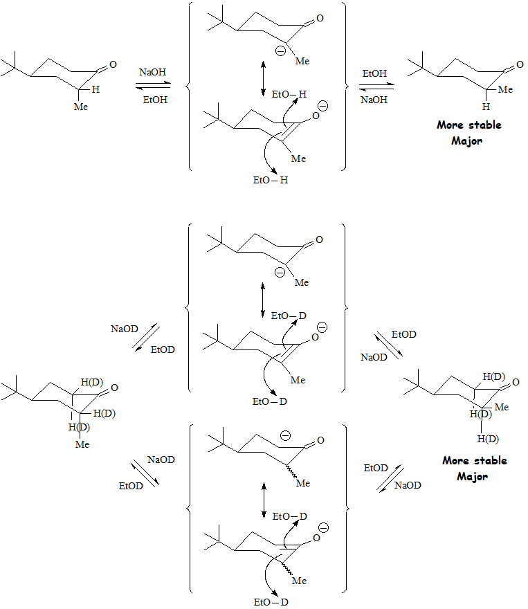
Al cabo de unos minutos de disolver el diastereómero trans puro de la 2-metil-4-t-butilciclohexanona en etanol acuoso, que contiene una cantidad catalítica de NaOH, empieza a aparecer el isómero cis que acaba siendo el compuesto mayoritario de la mezcla. Además, cuando se usa etanol-d (CH3CH2OD) y NaOD, se obtiene la misma mezcla de isómeros cis y trans que antes pero de la 2,6,6-trideutero-2-metil-4-t-butilciclohexanona. Propón un mecanismo para explicar estas transformaciones.
A few minutes after dissolving the pure trans diastereomer of 2-methyl-4-t-butylcyclohexanone in aqueous ethanol containing catalytic amounts of NaOH, the cis isomer starts to show up and, actually, ens up being the major component in the mixture. Besides, when ethanol-d (CH3CH2OD) and NaOD are used, the same cis-trans isomer mixture is produced but of 2,6,6-trideutero-2-methyl-4-t-butylcyclohexanone. Propose a mechanism that explain these transformations.
Image