Depto. Química Orgánica

PROBLEMS AND EXERCISES
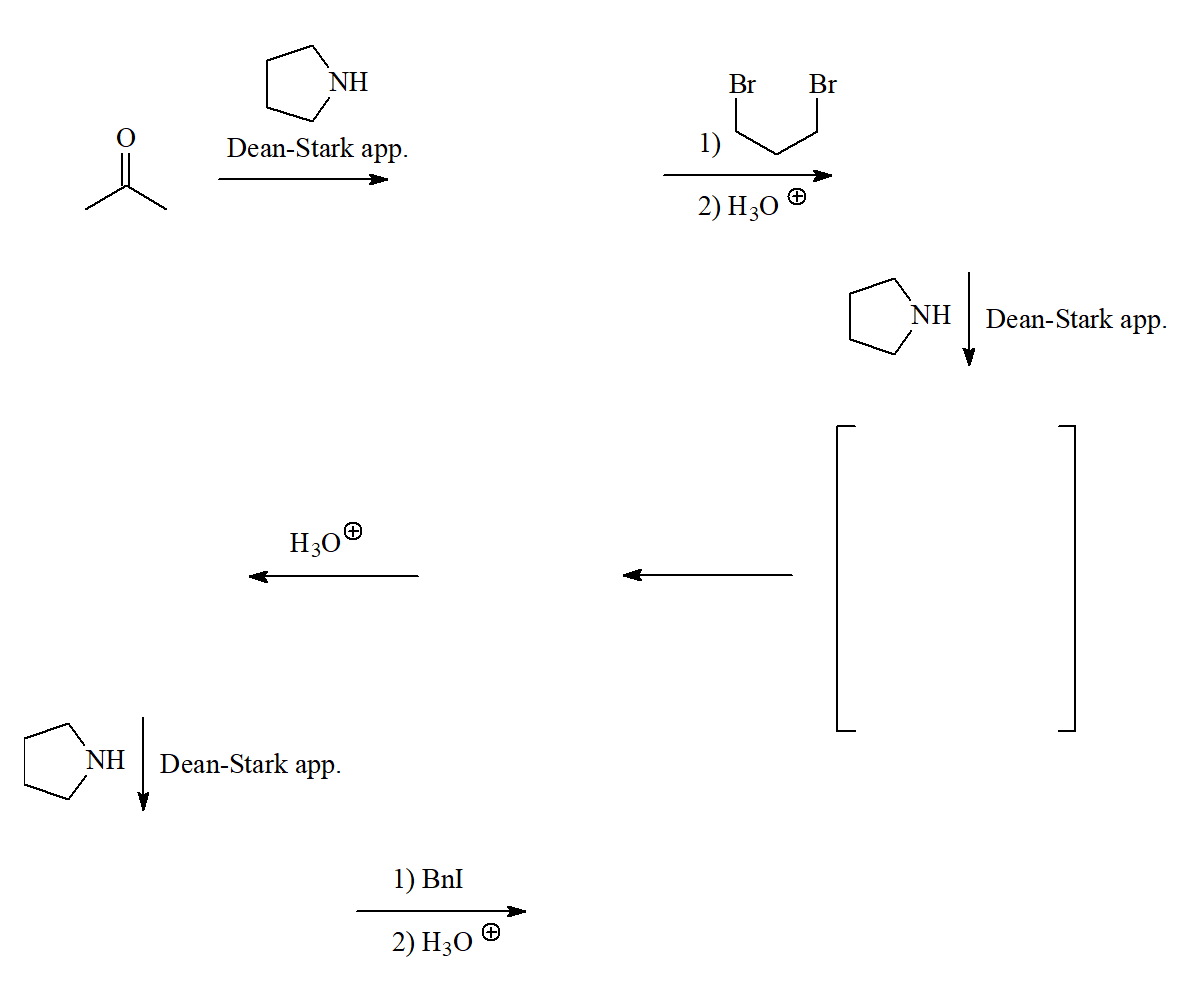
ENOLATE ALKYLATION

Image Link UAM Excelencia UAM Facultad Ciencias UAM
15/07/2017
page counter
Where I am Solutions Molecular panel Home
Resuelve el esquema de síntesis siguiente: Fill the blanks in the following synthetic scheme:
Image