Depto. Química Orgánica

PROPIEDADES ÁCIDO-BASE DE ÉSTERES

Image Link UAM Excelencia UAM Facultad Ciencias UAM
15/07/2017
page counter
Dónde estoy Ejercicios y problemas Escribir moléculas Inicio
Basicidad del Grupo Carbonilo
La basicidad de un grupo carbonilo puede estudiarse a partir de la acidez de su forma protonada. Cuanto más ácida la forma protonada, menos básico será el grupo carbonilo de partida.
La forma protonada de un grupo carbonilo será más estable (menos ácida) cuanto más participe la tercera forma resonante. Por tanto, un grupo carbonilo será más básico cuanto más capacidad de dar electrones tenga el grupo L.
Image
Image
¿Puedes explicar los valores de pKa de los siguientes grupos carbonilo protonados, utilizando el razonamiento anterior?
Image Aldehído

pKa = -8.0
La tercera forma resonante no es posible cuando L es un hidrógeno. La forma protonada es muy inestable. Los aldehídos son los menos básicos de esta serie.

Image Cetona

pKa = -7.2
El grupo metilo solo puede estabilizar la carga positiva por hiperconjugación. Pero ello permite a las cetonas ser un poco más básicas que los aldehídos.
Pincha aquí para recordar qué es la hiperconjugación en relación a la estabilidad de carbocationes.

Image Éster

pKa = -6.5
El grupo alcoxilo puede estabilizar la carga positiva por efecto mesómero. Por ello los ésteres son más básicos que las cetonas.

Image Ácido

pKa = -6.0
La primera y tercera formas resonantes son equivalentes en un ácido protonado. Eso le da una estabilidad adicional que hace que paradójicamente un ácido sea el más básico de esta serie.

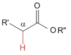
Acidez de los Hidrógenos en alfa
Al igual que en aldehídos y cetonas, los hidrógenos en alfa resultan débilmente ácidos, debido a la estabilización del anión resultante que provoca la deslocalización de la carga negativa hacia el grupo carbonilo.
¿Qué influencia tiene el grupo L?
Image
Image Aldehído

pKa = 17
El hidrógeno no ejerce ningún efecto especial y podemos tomar el valor de pKa = 17 como referencia de acidez de hidrógenos en alfa a un grupo carbonilo.

Image Cetona

pKa = 20
El grupo metilo es dador de electrones por efecto inductivo y por tanto desestabiliza el anión, haciendo que los hidrógenos en alfa sean menos ácidos que en los aldehídos

Image Éster

pKa = 25
Los grupos alcoxilo son fuertes dadores de electrones por efecto mesómero e inestabilizan todavía más el anión, haciendo que los hidrógenos en alfa a un éster sean los menos ácidos de esta serie.