Depto. Química Orgánica

NITRILES

Image Link UAM Excelencia UAM Facultad Ciencias UAM
15/07/2017
page counter
Where I am Problems and exercises Molecular panel Home

Nomenclatura de derivados de acidos carboxilicos Nomenclature
Propiedades Físicas de derivados de acidos carboxilicos Physical and Bond Properties
Propiedades ácido-base de derivados de acidos carboxilicos Propiedades ácido-base de derivados de acidos carboxilicos Acid-Base Properties
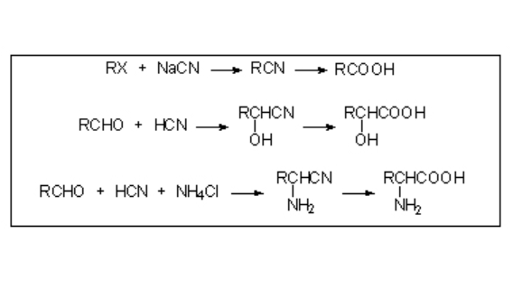
Preparación de derivados de acidos carboxilicos Preparation
Reactividad de derivados de acidos carboxilicos Reactivity