Depto. Química Orgánica

REACTIVITY OF AMIDES

Image Link UAM Excelencia UAM Facultad Ciencias UAM
15/07/2017
page counter
Where I am Problems and exercises Molecular panel Home
Amides are the least reactive among all carboxylic acid derivatives because the electrophilicity of the C=O group is heavily reduced by the electron-donor nitrogen. Despite that, there are some interesting reactions...
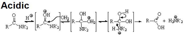
Acidic or Basic Hydrolysis
The hydrolysis of an amide is usually difficult a process that requires strong acids or bases and high temperatures.
IMPORTANT: If there are other functions present, they wouldn't endure the reaction.
As it is customary, the addition-elimination mechanism applies.
ImageImage
Hydride Reduction
Amides can only be reduced with strong hydrides like LiAlH4 (LAH).
NaBH4 DOES NOT REACT.
IMPORTANT: Beware other groups' competition!
Image
Hofmann Rearrangement
The reaction of amiDes ("with D") with bromine in basic medium induces the C=O loss and the formation of an amiNe ("with N").
IMPORTANT: DO NOT BE CONFUSED...
with the Hofmann Degradation.
Click here to remember it.
Image
The mechanism is rather complex but maintains the usual logic. It implies the rearrangement of a carbon towards nitrogen.
Click here to recall another mechanism involving carbon rearrangement:

Baeyer-Villiger oxidation of aldehydes and ketones.
Click here to recall another mechanism involving carbon rearrangement:

 Amides from oximes by  Beckmann rearrangement.
Image
Remember that amines can be hardly prepared by simple nuclophilic substitution. Hofmann rearrangement is an excellent alternative as it is shown in the following retrosynthetic scheme:
Click here to recall the inconveniences.
Image
Reaction with Nitrous Acid Sodium nitrite is a common food additive. It can react with the HCl from the stomach leading to the highly reactive nitrosyl cation.
Image
Nitrosyl cation can react with the amide and amine groups of proteins and enzimes of our body, giving rise to dangerous carcinogenic compounds.
Image