Depto. Química Orgánica

INTERPRETANDO UN
COSY 2D H/H

Image Link UAM Excelencia UAM Facultad Ciencias UAM
15/07/2017
page counter
Dónde estoy Ejercicios y problemas Escribir moléculas Inicio
Hace ya unos 30 años que las técnicas bidimensionales revolucionaron la elucidación estructural por RMN.
La teoría y técnica que hay detrás del registro de estos espectros son muy complejas y excede del objeto de este curso.
No así la interpretación de los espectros que, en contraste, es extraordinariamente sencilla.
El primer ejemplo que vamos a estudiar son los espectros denominados COSY 2D H/H, acrónimo de COrrelation SpectroscopY bidimensional proton/proton.
Lo mejor es ver enseguida un ejemplo.
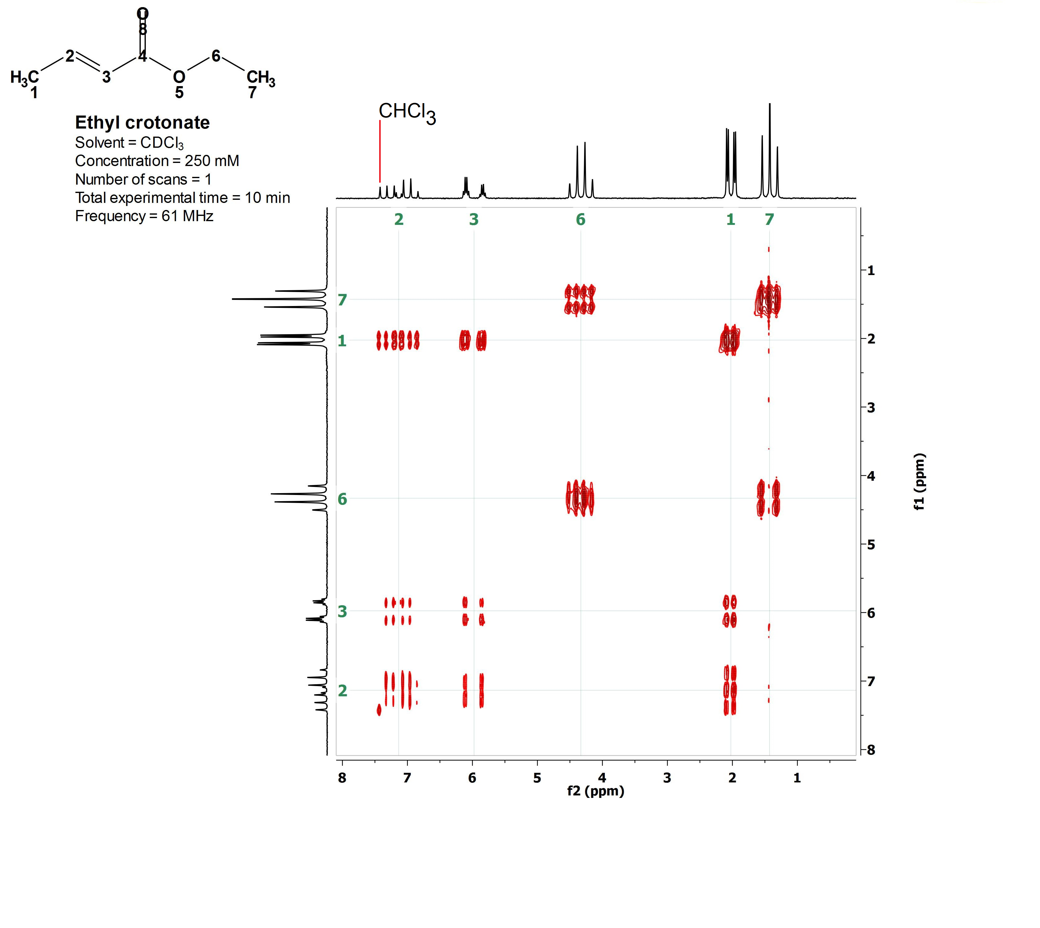
Se trata del espectro COSY 2D H/H del crotonato de etilo. La estructura del compuesto está en la figura para que entiendas cómo se interpretan estos espectros.
Lógicamente, la utilidad de estos espectros es determinar estructuras desconocidas pero no podemos empezar la casa por el tejado...
Image
Vamos a hacer una lista de las primeras cosas que se aprecian en el espectro:
1) Hay un paralelogramo dentro del que hay unas señales en rojo.
2) En la parte superior y en la izquierda hay dos espectros (en negro) de 1H-RMN convencionales que parecen idénticos.
3) Las escalas vertical y horizontal son las típicas de 1H-RMN en ppm.
4) Las señales en rojo parecen coincidir con las señales en negro de los espectros de ambos ejes.
Antes de ver cómo se interpreta necesitamos entender el espectro 1H-RMN:
1) Las señales a 1.5 ppm (triplete) y 4.4 ppm (cuartete) pertenecen al resto CH3CH2.
2) Aplicando la regla de N+1 se entiende que el CH3 aparezca como triplete (N = 2 del CH2 vecino) y el CH2 como cuartete (N = 3 del CH3 vecino).
3) La señal a 2.0 ppm (doble-doblete) pertenece al CH3 unido al doble enlace.
4) El CH3 se acopla con cada uno de los dos 1H's olefínicos pero de diferente manera porque está a diferente distancia en enlaces de cada uno de los dos [C(1)H3-C(2)H-C(3); 3 enlaces con HC(2) y 4 enlaces con HC(3)].
5) Las señales a 6 ppm y 7.2 ppm pertenecen a los 1H's olefínicos y son muy complejas porque ambos 1H's se acoplan entre sí y con el grupo CH3.
6) Ambas son "dobles-cuartetes". Cuartete porque se acopla con el CH3 (N = 3) y doblete porque se acopla con el otro H olefínico (N = 1).
7) Las cuatro líneas de cada  cuartete de la señal a 6 ppm tienen entre ellas una separación menor (constante de acoplamiento menor) lo que sugiere que esta señal pertenece al H olefínico H(C3), más alejado del C(1)H3.  

Interpretemos ahora el espectro COSY 2D H/H:
1) Tracemos una diagonal que vaya desde el máximo al mínimo de ppm (línea azul).
Image
Sabemos de antemano que las señales del grupo CH3CH2 son las que aparecen a 1.5 ppm y 4.4 ppm. Vemos que ambas se pueden relacionar entre sí con el paralelogramo en verde que hemos trazado.
Si en un espectro COSY 2D H/H dos señales se relacionan de esa forma quiere decir que pertenecen a 1H's vecinales, que están acoplados entre sí. 
Image
¿Ves ahora más paralelogramos de correlación? Claro que sí. Los vamos marcando uno a uno. Por ejemplo el rojo.
Con él se relacionan las dos señales a 6 ppm y 7.2 ppm que sabemos son los 1H's olefínicos. 
Image
Ahora el amarillo. ¿Qué señales correlaciona? La de 7.2 ppm y la de 2.0 ppm, es decir, un 1H olefínico y los 1H's del grupo CH3.
Image
Por último el malva, que correlaciona el otro 1H olefínico (6 ppm) con el grupo CH3 (2.0 ppm)
Image
La interpretación ha sido fácil. Quizá no lo será tanto cuando estudies un espectro de un compuesto de estructura desconocida.
Ya veremos ejemplos...