Depto. Química Orgánica

THE RESULT OF AN EXPERIMENT

Image Link UAM Excelencia UAM Facultad Ciencias UAM
15/07/2017
page counter
Where I am Problems and exercises Molecular panel Home
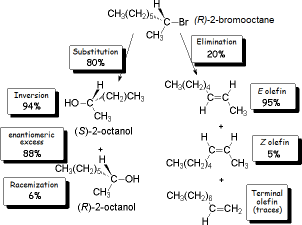
Optically pure (R)-2-bromooctane reacted with sodium hydroxide (a strong nucleophile) in the solvent DMF (dimethylformamide).
Image
The thorough analysis of the reaction mixture tells us that the result is the major production (80%) of an optically active alcohol,  
together with a series of optically inactive alkenes.
It is reasonable to think that the nucleophile (HO-) has attacked the haloalkane by the electron-deficient carbon of 2-bromooctane, that bonded to the bromine.
Consequently, the alcohol should be 2-octanol.
Let's check a chemical catalog, where we can find the following data:
Image
The comparison between the measured and tabled optical rotations tells us that the alcohol is mainly (not exclusively) the S enantiomer.
The olefins have been separated and analyzed.
The global result is summarized in the following scheme:
Image
These results take us to the conclusions that follows:
This logical deductions should allow the proposal of a reasonable reaction mechanism, i.e. a reasonable stepwise sequence describing the precise moment when the bonds are broken and formed.