Depto. Química Orgánica

PROBLEMS AND EXERCISES
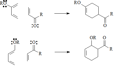
DIELS-ALDER STERECHEMISTRY

Image Link UAM Excelencia UAM Facultad Ciencias UAM
15/07/2017
page counter
Where I am Solutions Molecular panel Home
Indica el resultado de los procesos siguientes: Predict the result of the following processes:
Image
Sugiere una explicación mediante formas resonantes de que el regioisómero "meta" está siempre desfavorecido.
Using resonance forms, suggest an explanation to the fact the the 'meta' adduct is always unfavored.
Image