Depto. Química Orgánica

ROBINSON ANNULATION OR ANNELATION

Image Link UAM Excelencia UAM Facultad Ciencias UAM
15/07/2017
page counter
Where I am Problems and exercises Molecular panel Home
Robinson annulation
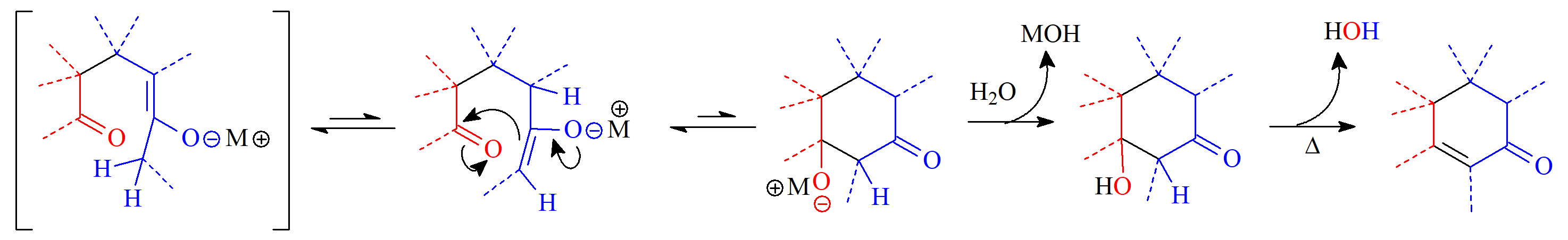
Robinson annulation or annelation is a two-step synthetic protocol in which a Michael (conjugated) addition is followed by an intramolecular aldol condensation leading to a cyclohexenone.
Image
In the first step, the enolate of an aldehyde, ketone or dicarbonyl compound attacks in a conjugated manner to an alpha,beta-unsaturated ketone.
Image
In a second step the enolate, formed in the conjugated addition, intramolecularly attacks the carbonyl that started the reaction. A very stable six-membered ring is hence produced leading to a cyclohexenone after the usual dehydration that takes place in aldol condensations.