Depto. Química Orgánica

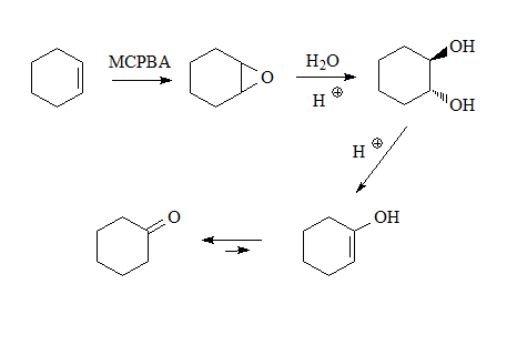
DESHIDRATACIÓN DE DIOLES VECINALES

Image Link UAM Excelencia UAM Facultad Ciencias UAM
15/07/2017
page counter
Dónde estoy Ejercicios y problemas Escribir moléculas Inicio
Deshidratación de dioles vecinales
Image
Un diol vecinal puede obtenerse de varias maneras. Su deshidratación conduce a un enol que está en equilibrio con el aldehído o cetona correspondientes