Depto. Química Orgánica

COMPUESTOS CARBONÍLICOS: PREPARACIÓN

Image Link UAM Excelencia UAM Facultad Ciencias UAM
15/07/2017
page counter
Dónde estoy Ejercicios y problemas Escribir moléculas Inicio
Preparación de aldehídos y cetonas
El número de métodos para introducir un grupo carbonilo en una molécula es muy numeroso.
Métodos ya Estudiados
Oxidación de alcoholes y fenoles Oxidación de Alcoholes y Fenoles
Ozonolisis de alquenos Ozonolisis de Alquenos
Hidratación de alquinos Hidratación de Alquinos
Acilación de Friedel-Crafts Acilación de Friedel-Crafts
Métodos Nuevos
Hidrólisis de dihaluros geminales Hidrólisis de Dihaluros Geminales
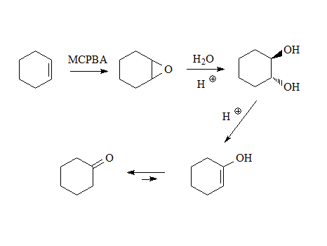
Deshidratación de dioles vecinales Deshidratación de Dioles Vecinales
Hidroformilación de olefinas Hidroformilación de Olefinas
Formilación de anillos aromáticos Formilación de Anillos Aromáticos
Reacción de organocupratos y organocádmicos con haluros de ácido Reacción de organocupratos y organocádmicos con haluros de ácido
Reacción de organometálicos con nitrilos Reacción de Organometálicos con Nitrilos
Reacciones Pericíclicas Reacciones Pericíclicas
Transposición de Fries Transposición de Fries